Tên nghiên cứu: Đánh giá tác dụng chống trầm cảm của tinh dịch nelumbinis trên chuột khi bị căng thẳng nhẹ mãn tính và độc tính dưới lưỡi của nó ở chuột và chó beagle
- Năm nghiên cứu: 2012
- Tác giả: Hwan-Suck Chung , Hye Jeong Lee, Hyunsu Bae, Insop Shim
- Nơi nghiên cứu: Đại học Kyung Hee, Hàn Quốc
- Link: https://bmccomplementmedtherapies.biomedcentral.com/articles/10.1186/1472-6882-12-68
- Nội dung
Nelumbo nucifera là một loại cây thủy sinh lâu năm được trồng và tiêu thụ trên toàn thế giới, đặc biệt là ở Ấn Độ và Đông Nam Á. Nelumbinis Semen (NS, hạt của Nelumbo nucifera ) hoặc hạt sen là một loại thuốc truyền thống đã được sử dụng hàng trăm năm ở Đông Á để điều trị chứng mất ngủ, lo âu và trầm cảm sau kỳ kinh nguyệt của phụ nữ. Nelumbinis Semen (NS) có chứa alkyl 4-hydroxybenzoat, một số alcaloid bcdenzylisoquinoline, alkaloid benzylisoquinoline, alcaloid aporphin và proaporphine. Trong các nghiên cứu trước đây, chúng tôi thấy rằng loại thuốc thảo dược này có tác dụng giống như thuốc chống trầm cảm ở chuột dựa trên thử nghiệm bơi bắt buộc. Kết quả của nghiên cứu này cho thấy NS có thể làm tăng dẫn truyền thần kinh cholinergic và dopaminergic hoặc norephinergic thông qua kích hoạt sự hình thành cAMP ở vùng đồi thị và vỏ não trước trán. Các sản phẩm tự nhiên từ lâu đã được sử dụng trong y học cổ truyền để điều trị viêm và các bệnh liên quan đến viêm khác, và nguyên liệu thô của các sản phẩm này thường được sử dụng để phát triển các loại thuốc mới.
Nhiều yếu tố góp phần vào sự hấp dẫn của thuốc thảo dược và thảo dược đã được sử dụng để điều trị và ngăn ngừa bệnh tật. Các phương pháp điều trị bằng thảo dược được coi là an toàn vì chúng là sự thay thế tự nhiên, nhẹ nhàng và vô hại so với thuốc thông thường. Tuy nhiên, thiếu bằng chứng liên quan đến độc tính của thuốc thảo dược và một số người nhấn mạnh rằng thuốc thảo dược là độc hại cho gan. Mặc dù rễ và lá của Nelumbo nucifera đã được sử dụng trong thực phẩm hoặc trà, nhưng sự an toàn của NS chưa được thiết lập trước đây, đây là điều cần thiết trước khi thuốc thảo dược này có thể được sử dụng làm thuốc mới. Mục đích của nghiên cứu này là điều tra các tác dụng chống trầm cảm và độc tính của Nelumbinis Semen (NS) sau khi uống nhiều lần.

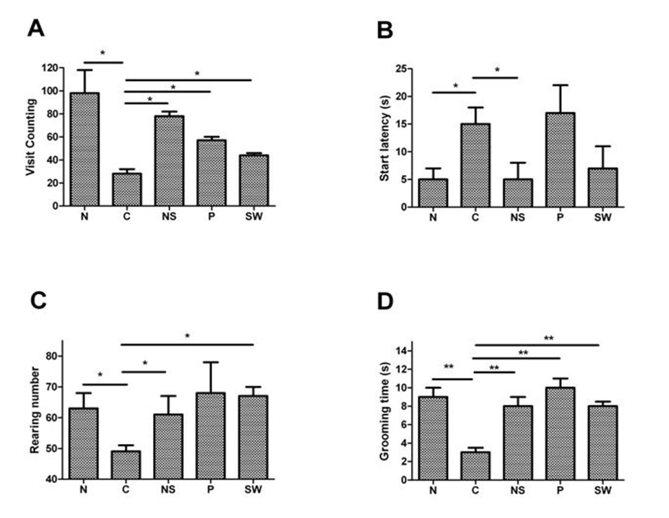
(Hiệu quả chống trầm cảm của NS dựa trên số lần truy cập (A), (B) số lần bắt đầu (C) và thời gian chải chuốt trong thử nghiệm ngoài trời sau khi điều trị chống trầm cảm trong 4 tuần cuối của CMS 8 tuần)
6. Kết quả nghiên cứu
Dựa trên kết quả của nghiên cứu này và các báo cáo trước đây đã kiểm tra tác dụng chống trầm cảm của Nelumbinis Semen (NS), Nelumbinis Semen hứa hẹn sẽ được sử dụng trong điều trị trầm cảm mà không gây ra bất kỳ tác dụng phụ hay độc tính nào.
Trên những quan sát của chúng tôi, Nelumbinis Semen (NS) đã đảo ngược đáng kể các triệu chứng trầm cảm khi bị căng thẳng nhẹ mãn tính. Ngoài ra, trong các nghiên cứu đánh giá an toàn, Nelumbinis Semen (NS) đã được chứng minh là an toàn với liều 4000 mg / kg / ngày trong 13 tuần dùng chuột và lên đến 2000 mg / kg / ngày trong 4 tuần dùng cho chó. Các kết quả được trình bày ở đây cung cấp một nền tảng cho nghiên cứu lâm sàng sâu hơn và chứng minh tiềm năng của việc sử dụng Nelumbinis Semen (NS) như một loại thuốc thảo dược mới.






Ý kiến của bạn